Картинки из квадратов
\
Теоретико-множественная математика
\
Логика и методология дедуктивных наук
\
Логика
\
Учебники и монографии по математической логике
\
Математика метаматематики (Е. Расева, Р. Сикорский; 1972)
\
Решетки
\
Предварительные сведения из топологии, алгебры и теории решеток
\
9.6.2.8.3.1.1.1. Множества, отображения, прямые произведения
Начало см.
здесь
.
Расева Е., Сикорский Р.
Математика метаматематики.
Пер. с англ., М.: Наука, 1972, cc. 17 19.
Раздел о теории множеств
см.
здесь
.
Более подробно об этом
см. у Андерсона
здесь
.
Более подробно
об операциях над множествами
см. у Андерсона
здесь
.
Научно-популярное объяснение
теоретико-множественного понятия функции
см. у Стюарта
здесь
. Более строго см. у Хаусдорфа
здесь
.
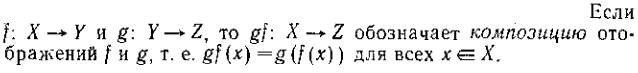
Научно-популярное объяснение
операции композиции функций
см. у Стюарта
здесь
(Рис. 41 по указанной ссылке).
Менее "заформализованное"
определение декартова (прямого) произведения множеств
см.
здесь
.
К началу данной страницы
Картинки из квадратов
\
Теоретико-множественная математика
\
Логика и методология дедуктивных наук
\
Логика
\
Учебники и монографии по математической логике
\
Математика метаматематики (Е. Расева, Р. Сикорский; 1972)
\
Решетки
\
Предварительные сведения из топологии, алгебры и теории решеток
\