Картинки из квадратов \ Арифметика "на квадратах" \ Некоторые факты элементарной математики \ Натуральные числа \ Начала теоретической (или 'высшей') арифметики \ Теория чисел (А. А. Бухштаб, 1966) \ Числовые функции \
 

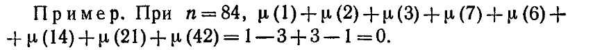
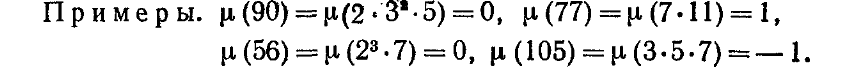
7.4.1.2.24.33.2. Функция Мебиуса

 
Начало см. здесь.
Бухштаб А. А.  Теория чисел.
М.: Просвещение, 1966, cc. 319 — 321.
Определение "числовых функций" в учебнике А. А. Бухштаба см. здесь. О "числовых функциях" в учебнике Д. Ф. Егорова см. здесь.
О "числовых функциях" в учебнике Д. Ф. Егорова см. здесь.




  К началу данной страницы  
Картинки из квадратов \ Арифметика "на квадратах" \ Некоторые факты элементарной математики \ Натуральные числа \ Начала теоретической (или 'высшей') арифметики \ Теория чисел (А. А. Бухштаб, 1966) \ Числовые функции \