Картинки из квадратов \ Арифметика "на квадратах" \ Разное \ Античная арифметика \ Первый научный кризис: несоизмеримость диагонали квадрата с его стороной \ Фантастическое открытие (по Радемахеру - Теплицу) \

7.3.1.10.2.2. Второе доказательство

 
Начало см. здесь и здесь.
Радемахер Г., Теплиц О. Числа и фигуры.
(опыты математического мышления)
М.: Гос. изд-во физико-математической литературы,
1962, сс. 33 — 35.
Второе доказательство много проще, чем первое; оно требует лишь небольшого арифметического введения,
более короткого, чем те длинные рассуждения из элементарной геометрии, которые необходимо было предпослать нашему первому (геометрическому) доказательству.
Это арифметическое введение касается вопроса о четных и нечетных числах.
Четным, как известно, называется всякое число, которое в два раза больше какого-либо другого целого числа, т. е. число, имеющее вид 2x;
нечетным называется всякое число, следующее в натуральном ряду чисел непосредственно за четным и имеющее вид 2x + 1.

Квадрат нечетного числа есть всегда опять нечетное число, ибо выражение
(2x + 1)2 = 4x2 + 4x + 1 = 2(2x2 + 2x) + 1
на единицу больше четного числа, т. е. нечетно. Отсюда непосредственно получается
1-я лемма.  Если квадрат некоторого числа есть число четное, то и само это число четно.
Действительно, если бы оно было нечетным, то, согласно только что сказанному, и квадрат его был бы числом нечетным.
2-я лемма.  Квадрат четного числа всегда делится на 4, т. е. представляет собой некоторое учетверенное целое число вида 4g.
В самом деле, 2x2x = 4xx = 4g.

Само доказательство проведем снова методом от противного.
Предположим, что сторона и диагональ квадрата имеют общую меру E и что в диагонали эта общая мера E содержится, например, точно d раз, а в стороне — s раз.
Применим теорему Пифагора к одному из двух прямоугольных треугольников, на которые квадрат разделяется диагональю. Мы получим:
d2 = s2 + s2,
или
  d2 = 2s2. [ 5 ]
Далее, мы имеем право предположить, что оба целых числа d и s являются взаимно простыми, ибо если бы эти числа можно было сократить на какой либо общий множитель, подобно тому, как, например, числа 10 и 16 сократимы до 5 и 8,
то это значило бы, что в качестве общей меры взята слишком малая величина и что ее можно увеличить в соответствующее число раз. Положим поэтому, что такое сокращение произведено уже заранее.

В таком случае из [ 5 ] следует, что d2, будучи в два раза больше s2, есть число четное.
1-я лемма позволяет сделать отсюда вывод, что и само d — также число четное.
Но тогда s должно быть нечетным, ибо если бы и d и s оба были бы четными числами, то их можно было бы сократить на 2, а эта возможность противоречит сделанному нами предположению, что эти числа сокращены уже заранее.

С другой стороны, 2-я лемма показывает, что если d — четное число,
то d2 делится на 4, т. е. d2 = 4g;
но тогда 2s2 = 4g, и следовательно, s2 = 2g.
Если квадрат s есть число четное, то опять-таки, в силу 1-ой леммы, и s должно быть четным — вопреки тому, что, как мы показали раньше, в случае четного d число s должно быть нечетным.
Мы пришли к противоречию со сделанным нами в начале доказательства предположением о соизмеримости стороны и диагонали квадрата.

Существенным моментом в обоих доказательствах является то, что убывающая последовательность целых положительных чисел должна когда-нибудь иметь конец.
В первом доказательстве это положение выступает ясно.
Во втором оно скрыто в том месте, где идет речь о сокращениях, ибо при выполнении последовательных сокращений пары чисел в той мере, в какой это возможно, оба эти числа постоянно уменьшаются,
Это заключение, которое повсеместно применяется в школьном курсе без всякого критического исследования, опирается в сущности как раз на то соображение, что всякий процесс уменьшения целых положительных чисел должен рано или поздно закончится.

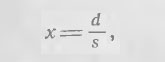
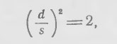
Переписав формулу [ 5 ] в виде
мы можем выразить результат доказательства в следующей форме: не существует такой дроби (такого рационального числа)
квадрат которой был бы равен 2, или, иными словами, не существует рационального числа x, равного   2;
  2 есть число иррациональное.
К началу данной страницы  
Картинки из квадратов \ Арифметика "на квадратах" \ Разное \ Античная арифметика \ Первый научный кризис: несоизмеримость диагонали квадрата с его стороной \ Фантастическое открытие (по Радемахеру - Теплицу) \