|
12.10.2. Апология активного использования суперпаттерна "антанаиресис" в обучении
|
|
При доказательствах
несоизмеримости
можно использовать факт
"зацикливания"
антанаиресиса
в этой ситуации
(очень подробное разъяснение этого феномена см.
у Б. Л. ван дер Вардена
здесь; правда, не для корня из двух, а для корня из трех).
То, что здесь сейчас было сказано об
антанаиресисе, не есть самое простое, что можно сказать об этом алгоритме.
Но на самом деле
антанаиресис очень прост. Именно поэтому его естественно было бы попробовать выбрать в качестве
начала при обучении программированию.
2. Антанаиресис как начало при обучении программированию
3. Полезная графическая метафора для антанаиресиса
В этом новом виде на каждом шаге максимально возможный квадрат вписывается в "текущий прямоугольник" либо
сверху, либо
справа.
При помощи этой графической метафоры мы можем очень наглядно
испытать
антанаиресис для какого-нибудь
конкретного набора входных значений
(например, для случая
M = 3 и
N = 4)
по аналогии с тем, как
Дональд Кнут делал это словесно для "алгоритма Евклида".
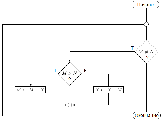
На данном этапе утверждение "
M не равно
N" является
истинным, поэтому в соответствии с
блок-схемой алгоритма мы переходим к анализу утверждения "M > N".
В данном случае утверждение "M > N" является
ложным,
поэтому в соответствии с
блок-схемой алгоритма мы выполняем действие

,
которое визуально моделируется вписыванием в текущий прямоугольник максимально возможного квадрата
сверху:
После выполнения предыдущего действия значениями переменных
M и
N являются натуральные числа
3 и
1, соответственно.
В соответствии с
блок-схемой алгоритма переходим к анализу утверждения
"
M не равно
N".
В данном случае это утверждение является
истинным.
Поэтому в соответствии с
блок-схемой алгоритма переходим к анализу утверждения "M > N".
В данном случае утверждение "M > N" является
истинным.
Поэтому в соответствии с
блок-схемой алгоритма выполняем действие

,
которое визуально моделируется вписыванием в текущий прямоугольник максимально возможного квадрата
справа:
После выполнения предыдущего действия значениями переменных
M и
N являются натуральные числа
2 и
1, соответственно.
В соответствии с
блок-схемой алгоритма переходим к анализу утверждения
"
M не равно
N".
В данном случае это утверждение является
истинным.
Поэтому в соответствии с
блок-схемой алгоритма переходим к анализу утверждения "M > N".
В данном случае утверждение "M > N" является
истинным.
Поэтому в соответствии с
блок-схемой алгоритма выполняем действие

,
которое визуально моделируется вписыванием в текущий прямоугольник максимально возможного квадрата
справа:
После выполнения предыдущего действия значениями переменных
M и
N являются натуральные числа
1 и
1, соответственно.
В соответствии с
блок-схемой алгоритма переходим к анализу утверждения
"
M не равно
N".
В данном случае это утверждение является
ложным.
Поэтому в соответствии с
блок-схемой алгоритма выполнение алгоритма
заканчивается.
Результирующими значениями переменных
M и
N являются натуральные числа
1 и
1, соответственно.